时时彩 院长信箱 党外人士建言献策信箱
为进一步深化学生党史学习教育,传承红色基因,时时彩 于2025年5月21日下午组织开展“博物映党史,薪火启新程”宣传教育创廉洁主题活动。旨在通过校园文化建设与志愿服务,激发学生爱国情怀与使命担当,培育崇廉尚洁的价值取向,引导树立知信行统一的价值导向与强国有我的青年担当。数字探党史在线上党史博物馆中,同学们通过数字化的方式重温了中国共产党从红船启航到引领复兴的壮阔征程。布满弹孔的钢盔、补缀再三的军装、字迹斑驳的入党申请书等,正是中国共产党人自强不息、永不懈怠、勠力奋斗的真实写照。在四十分钟的观看时间中,我们看见了党的百年奋斗历程,革命年代物资匮乏却精神富足的“清廉自守”。基地淬党性随后,同学们前往参观时时彩 马克思主义理论教育基地,一块块展区记载着中国共产党从革命年代“不拿群众一针一线”的纪律自觉,到新时代“打虎拍蝇”的反腐决心,让大家认识到中国共产党之所以能够不断取得胜利,正是因为他们始终坚定信仰、廉洁奉公、自我革新,这份勇于挑战自我、敢于直面问题的政治品格,为同学们照亮了坚守初心、廉洁自律的前行之路。誓言筑信仰参观后,同学们结合党史、廉洁文化与个人经历,用生动的文字、真挚的情感,表达了对党史的深刻认识与情感共鸣、廉洁文化的认同践行与价值坚守和个人成长的使命追求与行动方向。本次活动是同学们深入理解和体会“知史爱党、知史倡廉”的重要节点,同学们也表示,将以此次参观为契机,把对党史的深刻感悟转化为学习中“精益求精”的钻劲、工作中“清正廉洁”的韧劲,让“红色基因”与“廉洁文化”成为青春梦想的执着追求。青春担使命习近平总书记曾说:“一切向前走,都不能忘记走过的路,面对挑战,全党同志一定要不忘初心、继续前进。”通过此次主题活动,同学们加深了对党的历史和理论的认识,表示要不忘初心和使命,“以史为鉴、以廉为尺”。相信在未来,各位同学会把活动中汲取的精神力量转化为勇担时代使命的实际行动,在专业深耕中坚守初心,在服务社会中传递清风,让青春在强国复兴的征程中绽放光彩!图文:卢远初审:李琳 叶欣雨 何唐蔚复审:陈嘉怡终审:叶如芳
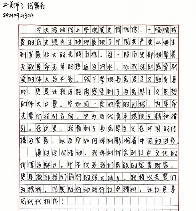
为进一步深化学生党史学习教育,传承红色基因,时时彩 于2025年5月21日下午组织开展“博物映党史,薪火启新程”宣传教育创廉洁主题活动。旨在通过校园文化建设与志愿服务,激发学生爱国情怀与使命担当,培育崇廉尚洁的价值取向,引导树立知信行统一的价值导向与强国有我的青年担当。
数字探党史
在线上党史博物馆中,同学们通过数字化的方式重温了中国共产党从红船启航到引领复兴的壮阔征程。布满弹孔的钢盔、补缀再三的军装、字迹斑驳的入党申请书等,正是中国共产党人自强不息、永不懈怠、勠力奋斗的真实写照。在四十分钟的观看时间中,我们看见了党的百年奋斗历程,革命年代物资匮乏却精神富足的“清廉自守”。
基地淬党性
随后,同学们前往参观时时彩 马克思主义理论教育基地,一块块展区记载着中国共产党从革命年代“不拿群众一针一线”的纪律自觉,到新时代“打虎拍蝇”的反腐决心,让大家认识到中国共产党之所以能够不断取得胜利,正是因为他们始终坚定信仰、廉洁奉公、自我革新,这份勇于挑战自我、敢于直面问题的政治品格,为同学们照亮了坚守初心、廉洁自律的前行之路。
誓言筑信仰
参观后,同学们结合党史、廉洁文化与个人经历,用生动的文字、真挚的情感,表达了对党史的深刻认识与情感共鸣、廉洁文化的认同践行与价值坚守和个人成长的使命追求与行动方向。
本次活动是同学们深入理解和体会“知史爱党、知史倡廉”的重要节点,同学们也表示,将以此次参观为契机,把对党史的深刻感悟转化为学习中“精益求精”的钻劲、工作中“清正廉洁”的韧劲,让“红色基因”与“廉洁文化”成为青春梦想的执着追求。
青春担使命
习近平总书记曾说:“一切向前走,都不能忘记走过的路,面对挑战,全党同志一定要不忘初心、继续前进。”通过此次主题活动,同学们加深了对党的历史和理论的认识,表示要不忘初心和使命,“以史为鉴、以廉为尺”。相信在未来,各位同学会把活动中汲取的精神力量转化为勇担时代使命的实际行动,在专业深耕中坚守初心,在服务社会中传递清风,让青春在强国复兴的征程中绽放光彩!
图文:卢远
初审:李琳 叶欣雨 何唐蔚
复审:陈嘉怡
终审:叶如芳